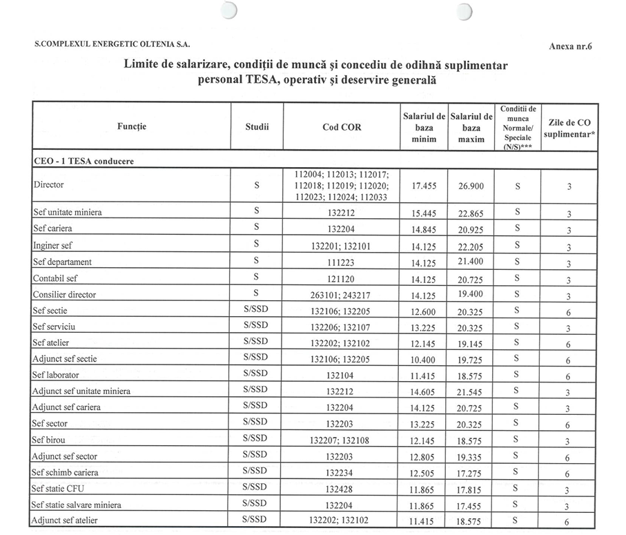
Cele mai mari salarii din Complexul Energetic Oltenia (CEO) se regăsesc în zona de conducere, potrivit grilei oficiale de salarizare aferente personalului TESA, operativ și de deservire generală.
În vârful ierarhiei salariale se află directorii din cadrul CEO, care pot avea un salariu de bază maxim de 26.900 lei, în timp ce salariul minim pentru această funcție pornește de la 17.455 lei. Directorii beneficiază, de asemenea, de 3 zile suplimentare de concediu de odihnă.
Pe locurile următoare în topul salariilor se află:
- Șefii de unitate minieră, cu salarii cuprinse între 15.445 lei și 22.865 lei;
- Șefii de carieră, care pot câștiga între 14.845 lei și 20.925 lei;
- Inginerii-șefi, cu salarii între 14.125 lei și 22.205 lei;
- Șefii de departament, ale căror venituri pot ajunge până la 21.400 lei;
- Contabilii-șefi, cu salarii maxime de 20.725 lei.
De asemenea, funcțiile de consilier director și șef serviciu se apropie de pragul de 20.000 lei, cu salarii maxime de 19.400 lei, respectiv 20.325 lei.
În zona de conducere medie (șefi de secție, șefi de atelier, șefi de sector sau adjuncți), salariile maxime variază între 18.500 și 21.500 lei, în funcție de funcție, studii și codul COR aferent.
Toate aceste funcții sunt încadrate la condiții normale sau speciale de muncă, iar unii dintre angajații din conducere beneficiază de până la 6 zile suplimentare de concediu de odihnă, în funcție de poziția ocupată.
Documentul confirmă faptul că diferențele salariale din Complexul Energetic Oltenia sunt semnificative, iar cele mai mari venituri sunt concentrate în zona de top management și conducere tehnică.


















